Skip to main content

Biodiversity of poly-extremophilic Bacteria: Does combining the extremes of high salt, alkaline pH and elevated temperature approach a physico-chemical boundary for life?

Abstract

Bacterial microorganisms that grow optimally at Na+ concentrations of 1.7 M, or the equivalent of 10% (w/v) NaCl, and greater are considered to be extreme halophiles. This review focuses on the correlation between the extent of alkaline pH and elevated temperature optima and the extent of salt tolerance of extremely halophilic eubacteria; the focus is on those with alkaline pH optima, above 8.5, and elevated temperature optima, above 50°C. If all three conditions are required for optimal growth, these microorganisms are termed "poly-extremophiles". However, only a very few extreme halophiles able to grow optimally under alkaline conditions as well as at elevated temperatures have been isolated so far. Therefore the question is: do the combined extreme growth conditions of the recently isolated poly-extremophiles, i.e., anaerobic halophilic alkalithermophiles, approach a physico-chemical boundary for life? These poly-extremophiles are of interest, as their adaptive mechanisms give insight into organisms' abilities to survive in environments which were previously considered prohibitive to life, as well as to possible properties of early evolutionary and extraterrestrial life forms.

Extremely halophilic Bacteria

It is frequently asked: what are the physical and chemical boundaries for life? How extreme can conditions become and still support life? In respect to one extreme--haline conditions--the answer is simple; growth has been observed at saturated concentrations of sodium salts, mainly NaCl. But what happens if one tries to increase the solubility of these salts by increasing the temperature? This overview deals with the diversity of bacteria able to grow under concomitant extreme growth conditions, namely high sodium salt concentration, alkaline pH and elevated temperature, and thus with the recently isolated anaerobic halophilic poly-extremophiles.

Different authors use different definitions for what constitutes a halophile; one definition identifies microorganisms which grow optimally at Na+ concentrations greater than 0.2 M as halophiles [1]. For this review, the authors wish to focus upon bacterial microorganisms that grow at the upper limits of the combined extremes, and in the case of halophiles, optimally at Na+ concentrations of 1.7 M, or the equivalent of 10% NaCl. These microorganisms are defined as extreme halophiles, in contrast to those microorganisms which merely tolerate such sodium concentrations or which grow optimally at marine salt concentrations of approximately 3.5% w/v (Table 1). In this review Na+ concentrations are given in mol/liter, rather than % NaCl, since some of the alkaliphilic halophiles require media with carbonates, usually provided as sodium carbonates, for pH control [2, 3]. Therefore the [Na+] comes both from the sodium carbonates and from the supplemented NaCl. Many of the well-known extreme halophiles are Archaea (over one hundred species in the family Halobacteriacae alone); however, some extremely halophilic bacteria have been described [see Additional File 1], and this review will focus exclusively on extremely halophilic Bacteria. These bacteria have been isolated from various extreme environments such as solar thalassohaline salterns (i.e., originating from marine waters) [4], athalassohaline (e.g., Wadi An Natrun, Egypt) [2] and ancient thalassohaline (e.g., Great Salt Lake, UT, USA) [5] salt lakes, marine environments [6], and fermented fish sauces [7]. Additionally, among the validly published taxa (i.e., published in, or publication validated by, the International Journal of Systematic and Evolutionary Microbiology), the extremely halophilic Bacteria are relatively equally distributed between aerobic and anaerobic species, with the addition of four facultative anaerobes, such as Halomonas sinaiensis [8] and Thiohalorhabdus denitrificans [9]. Examples of extremely halophilic bacteria--representing different types of extrema--include Halorhodospira halochloris (basonym Ectothiorhodospira) [10], which, at 4.62 M, has one of the highest [Na+] optima [11]; Halomonas taeanensis, which is capable of growing over the unusually wide range of 0-5.13 M Na+ [12]; and Natranaerobius 'grantii', which tolerates saturated NaCl concentrations in its growth medium at elevated temperature and alkaline pH [13].

Table 1 Growth Characteristics of Extremophiles

Bacterial extreme halophiles exhibit various physiological and nutritional properties [3, 1416] and belong to different phylogenetic groups such as the order Actinomycetales from the phylum Actinobacteria; the order Sphingobacteriales from the phylum Bacteroidetes; the orders Bacillales, Halanaerobiales and Natranaeriobiales from the phylum Firmicutes; the orders Rhizobiales and Rhodospirillales from the subphylum α-Proteobacteria; and the orders Chromatiales, Oceanospirillales and Pseudomonadales from the subphylum γ-Proteobacteria. Although many extreme halophiles are mesophilic or neutrophilic, moderately thermophilic extreme halophiles have been described, along with several alkaliphilic extreme halophiles. Microorganisms which have two extreme growth optima are generally described using the two specific extrema, e.g., alkaliphilic halophiles. However, only a very few extreme halophiles able to grow optimally under alkaline conditions as well as at elevated temperatures have been isolated so far. This review will focus on the pH and temperature optima of extremely halophilic bacteria, with a focus on those with alkaline pH optima, above 8.5, and elevated temperature optima, above 50°C. These microorganisms are considered extremophiles, and, if all three conditions are required for optimal growth, are termed by the authors "poly-extremophiles". They are of great interest, as their adaptive mechanisms give insight into the abilities of bacteria to survive in environments which were previously considered prohibitive to life, as well as to possible properties of early evolutionary and extraterrestrial life forms [17]. The purpose of this overview is to discover whether a correlation exists amongst the validly published bacterial taxa between the extents of halophily, alkaliphily and/or thermophily. In other words: is the extent of one extreme condition limiting the concomitant extent of other extreme growth condition (e.g., a higher temperature optimum requiring a less alkaline pH or a lower sodium salt concentration)?

Currently (September 2009), there are over sixty validly published species (i.e., published or validated in the International Journal of Systematic Bacteriology/Systematic and Evolutionary Microbiology, as listed at http://www.bacterio.cict.fr) which are extremely halophilic, according to the description. Of these species, approximately thirty percent have [Na+] optima of less than 2.0 M (equivalent to approximately 12% w/v NaCl), nineteen of which are published at 1.7 M (equivalent to approximately 10% w/v NaCl). Approximately forty-five percent of the extremely halophilic species have published [Na+] optima equal to or greater than 2.0 M but less than 3.4 M, and only thirteen microorganisms (approximately 25%) have published [Na+] optima equal to or greater than 3.4 M (equivalent to approximately 20% (w/v) NaCl). Additionally, approximately thirty percent of the species tolerate [Na+] 5.0 M or greater (equivalent to approximately 29% w/v NaCl). Among these microorganisms, only three--Halorhodospira halochloris, Halanaerobium lacusrosei and the unpublished Natranaerobius 'grantii'--have been described which grow in the presence of saturated NaCl (i.e., 5.5 to 6.5 M, since the saturation point is dependent upon media composition, growth pH and temperature) [11, 13, 18]. Clearly, as the [Na+] increases the number of known microorganisms with the adaptive mechanisms that enable them to thrive under these conditions decreases. However, while the number of microorganisms with [Na+] optima above 3.0 M is small, a significantly larger number of bacterial halophiles are able to tolerate 3.0 M [Na+]; in fact, all of the extreme halophiles with a published [Na+] maximum are able to do so [see Additional File 1].

pH optima and ranges of extreme halophiles

Interestingly, out of all the established extremely halophilic bacteria, only nineteen species have pH optima of 8.5 or greater [see Additional File 1], although many salt lakes and salterns from which these organisms were isolated have alkaline pH values. Of these, only ten species combine an elevated pH optimum with a [Na+] optimum of 2.0 M or greater. The distribution of the [Na+] and pH optima are shown in Figure 1a; clearly, the combinations of pH optimum 9 with a [Na+] optimum of approximately 1.7 M is the most highly represented, followed by the combinations of pH optima 7 and 8 with [Na+] optimum of approximately 1.7 M. Theoretically, if the adaptive resources of a microorganism are being utilized heavily to deal with one type of environmental stress (e.g., osmotic stress) there will be less available resources to deal with other types of environmental stressors: in this case, the elevated pH. Microorganisms with pH values for optimal growth above 8.5 carry with them the usual energetic problems of alkaliphiles, e.g., an inverted pH gradient and thus a suboptimal proton motive force [3]. In the case of extremely halophilic alkaliphiles these problems are exacerbated by the need to keep the intracellular sodium concentration below toxic levels, which is frequently as low as a few mM [19, 20]. This complication may explain the more prevalent occurrence of microorganisms growing optimally in environments that are pH neutral or near neutral. However, it could also be an artifact of the fact that researchers have investigated the alkaline halobiotic environments and the biodiversity of their microorganisms less than those of neutral or slightly acidic halobiotic environments. Mesbah et al [21] have shown that the biodiversity of the alkaline athalassohaline lakes of Wadi An Natrun (North Egypt) is relatively high. Similar observations were made by Ghozlan et. al. regarding saline habitats of Alexandria, Egypt [22] and Duckworth et. al. regarding various alkaline soda lakes [23]. Obligately alkaliphilic halophilic bacteria from the lakes of the Wadi An Natrun include: Natranaerobius thermophilus [2], Natranaerobius trueperi and Natronovirga wadinatrunensis [24]. Each of these microorganisms has a pH55°C optimum of 9.5 or greater as well as a [Na+] optimum greater than 2.5 M. As previously recommended by Wiegel [25], the pH values for N. thermophilus, N. 'jonesii', N. trueperi, N. wadinatrunensis and N. 'grantii' were measured at each microorganism's optimum growth temperature, denoted with a superscript (i.e., pH55°C). The pH measurement of an alkaline, complex growth medium which is at an elevated temperature (i.e., 55°C) with a pH probe calibrated at a much lower temperature (i.e., 25°C) will yield a pH measurement that can be upwards of one unit greater than that measured with a pH probe calibrated at the elevated temperature [25]. A number of other species have pH optima of 8.5-9 or greater, and of these, three species--Halorhodospira halochloris [10, 11], Halorhodospira abdelmalekii [11, 26] and Natroniella acetigena [27]--also have [Na+] optima of greater than 2.5 M, whereas the more-studied Salinibacter ruber, with a [Na+] optimum around 4 M, grows optimally at pH 8.0 and does not grow above pH 8.5 [28]. Overall, the number of anaerobic and aerobic haloalkaliphiles is similar (there are nine anaerobic and eleven aerobic haloalkaliphiles); interestingly, however, of the group of organisms just discussed, which have a [Na+] optimum greater than 2.5 M as well as a pH optima greater than 8.5, all are obligately anaerobic with a fermentative metabolism.

Figure 1
figure1

Correlation of [Na + ] optimum and pH or temperature optima of extreme halophiles.

Figure 1a. Correlation between [Na+] optimum and pH optimum. [Na+] optimum (M) is plotted against pH optimum; number of microorganisms at each locus is plotted on z-axis as indicated by color coding; no representation (zero) is indicated in the darkest shade.

Figure 1b. Correlation between [Na+] vs. temperature optima. [Na+] optimum (M) is plotted against temperature optimum (°C); number of microorganisms at each locus is plotted on z-axis as indicated by color coding; no representation (zero) is indicated in the darkest shade.

Elevated temperature optima and ranges of extreme halophiles

The other environmental stressor of interest is elevated temperature. Figure 1b contrasts, in similar fashion to Figure 1a, the correlation between temperature optima with the [Na+] optima of the halophiles under review. Elevated temperature optima--which is, for true thermophiles, above 50°C--are even more infrequent amongst the published extremely halophilic eubacteria than are alkaline pH optima. An additional problem for thermophiles is that, at the elevated temperature, the cell membrane becomes more permeable to the diffusion of protons and to increased Na+ diffusion [29]--especially in saline environments--making it more difficult for the cell to keep the intracellular [Na+] at a millimolar level against the molar extracellular concentration of Na+. The increased Na+ permeability is less pronounced than the increased proton permeability, but is significant in extremely halophilic conditions. Of the extremely halophilic bacteria with determined temperature optima, only eight have temperature optima equal to or greater than 50°C. Dichotomicrobium thermohalophilum and Halorhodospira halophila have published temperature optima of 50°C [30, 31], Halonatronum saccharophilum of 55°C [32], Halothermothrix orenii of 60°C [33], the unpublished Natranaerobius 'jonesii' of 66°C [13], Natranaerobius thermophilus of 53°C [2], Natranaerobius trueperi of 52°C [24], and Natronivirga wadinatrunensis of 51°C [24]. Three others, Salinibacter ruber, Halorhodospira halochloris and the unpublished Natranaerobius 'grantii', are thermotolerant, and have temperature optima of 46-48°C, just below the thermophilic designation [see Additional File 1]. Of these two groups of organisms only D. thermohalophilum and S. ruber are aerobes; the remaining organisms are all obligately anaerobic. While there are few true thermophilic extreme halophiles, many species--approximately forty percent of the validly published halophiles--are able to tolerate temperatures above 50°C [see Additional File 1]. Most species (60%) have temperature optima of 40°C or below: twenty-five percent of these have temperature optima of 38-40°C, and approximately fifty percent have temperature optima of 32-37°C. The remaining twenty-five percent have temperature optima between 30 and 32°C. It is important to note that not all species considered have published temperature optima. Interestingly, no strictly psychrophilic (Topt ≤ 15°C and Tmax ≤ 20°C) extreme halophiles have been described to date, though many psychrophiles and psychrotolerant species, such as Psychrobacter okhotskensis (Trange 5-35°C, Topt 25°C), tolerate up to 4 M Na+ [34]; however the published [Na+] optima of these microorganisms are below 1.7 M.

Poly-extremophiles: extreme halophiles with elevated temperature optima and alkaline pH optima

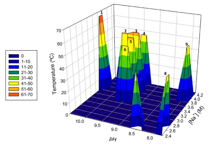
Of the group of thermophilic extremely halophilic Bacteria, only the anaerobic microorganisms Natranaerobius thermophilus, Natranaerobius 'jonesii', Natranaerobius trueperi and Natronovirga wadinatrunensis demonstrate elevated pH optima (9.5-10.5) and [Na+] optima (3.7-3.9 M), a group we term poly-extremophiles. Also of note are Halorhodospira halochloris which has a slightly lower temperature optimum of 48°C, a pH optimum of 8.5 and a [Na+] optimum of 4.62 M and Natranaerobius 'grantii' which has a temperature optimum of 46°C, a pH45°C optimum of 9.5 and [Na+] optimum of 4.3 M [see Additional File 1]. The uniqueness of these poly-extremophiles when compared to other known, extremely halophilic Bacteria is illustrated in Figure 2. On all three axes, [Na+], pH and temperature, these bacteria fall much farther along the axis than do other extreme halophiles. The fact that these microorganisms can not only survive but thrive under these multiple extreme conditions has extended the known boundaries for life at a combination of multiple extrema. Microorganisms living in extreme environments utilize a number of adaptive mechanisms in order to enable them to proliferate, and this is true to an even greater extent of poly-extremophiles. Cytoplasmic acidification for pH adaptation under halophilic growth conditions using multiple monovalent cation/proton antiporters with various pH ranges [35], the combined use of organic compatible solutes [36] and intracellular accumulation of K+ [20] for adaptation to osmotic pressure are three of the adaptive mechanisms employed by this group of microorganisms [1, 3, 37].

Figure 2
figure2

Clustering of poly-extremophiles relative to other extreme halophiles. Representation of extremely halophilic Bacteria for which both additionally-considered growth conditions (pH and temperature) approach or exceed thermophilic and alkaliphilic levels. The optima of the discussed recently isolated poly-extremophiles cluster in the upper range for each criterion, well-separated from other representative microorganisms. The z-axis color coding depicts the temperature optimum of each bacterium. Species represented: 1. Natranaerobius 'jonesii', 2. Natronovirga wadinatrunensis, 3. Natranaerobius thermophilus, 4. Natranaerobius 'grantii', 5. Natranaerobius truperi, 6. Halorhodospira halochloris, 7. Dichotomicrobium thermohalophilum, 8. Halanaerobacter salinarius, 9. Salinibacter ruber

To date, the only true anaerobic poly-extremophiles have been isolated from sediment samples taken from one of two locations. Three of the four anaerobic extremely halophilic alkalithermophiles, N. thermophilus, N trueperi and N. wadinatrunensis, were isolated from the solar-heated, alkaline, hypersaline lakes of the Wadi An Natrun, Egypt (temperatures up to 60°C measured in the salt brine) [2, 24]. The Wadi An Natrun is a series of eight lakes in northern Egypt noted for their salinity and alkaline pH. Halorhodospira halochloris, an anaerobic phototrophic purple bacterium, which is a thermotolerant, rather than thermophilic alkaliphilic halophile, was also isolated from the Wadi An Natrun [11]. N. 'jonesii', and the thermotolerant N. 'grantii', were isolated from sediment samples from Lake Magadi, in the Kenyan Rift Valley [13]. Lake Magadi, like the lakes of the Wadi An Natrun, is noted for its salinity and alkalinity. In places, the temperature of the lake exceeds 45°C; however, the lake is fed by saline hot springs in addition to being heated by sun rays.

The question remains: do the physiological and bioenergetic demands of dealing with one extreme condition (e.g., elevated temperature) limit an organisms' ability to meet the demands of two additional extreme conditions (e.g., elevated pH and high sodium concentrations) or reduce the extent of the other extrema to lower levels? A first look at the distribution of the peaks in Figure 2 suggests that yes, amongst the presented microorganisms, the more extreme the optimum is for one condition, the less extreme the optima for other conditions tend to be. However, the recent isolation and cultivation of the anaerobic poly-extremophiles in the novel order Natranaerobiales, which grow with doubling times around 3-4 h [2, 13, 24] and which require elevated temperatures, alkaline pH and high [Na+] in order to survive, demonstrate that microorganisms can thrive under combinations of multiple extrema. Furthermore, there is a notion that aerobic extremophiles, with higher ATP yields via electron transport phosphorylation should be better suited to extreme conditions than are anaerobic fermentative extremophiles, which have significantly lower ATP yields per substrate utilized, but so far there are no validly published aerobic Bacteria with similar combinations of growth conditions such as those of the anaerobic Natranaerobius species. The point needs to be stressed that with further investigation into alkaline halobiotic environments more, possibly many more, bacterial poly-extremophiles will be isolated and identified. As noted by Foti et al. (2008), few species identified from hypersaline habitats via culture independent methods are closely related to validly described species. Additionally, in the study performed by Foti et al. (2008) on Russian soda lakes, none of the validly described species were defined as haloalkaliphilic or haloalkalitolerant [38]; however, other studies on Kenyan and Egyptian soda lakes have identified uncultured clones related to validly described haloalkaliphiles [21, 39]. While the utility of culture independent methods cannot be disputed, the presence of a microorganism in an environment does not necessarily imply that the particular environment under investigation represents the optimal environment for the growth of the microorganism. The only way to learn the true ranges and optimum growth conditions for a particular species is to characterize the cultured species, therefore limiting our discussion to validly published microorganisms. Although nearly every month novel halophiles are published in the International Journal of Systematic and Evolutionary Microbiology the majority of them are Archaea, or grow only at slightly elevated salt concentration, and are not bacterial extreme halophiles. The authors predict that when investigators focus more on isolating extreme halophiles, and especially poly-extremophilic halophiles, from extreme habitats the present list will be significantly extended, and the present limits of combined alkaline pH, elevated temperature and [Na+] could be pushed to more extreme values. Then the questions arise: what are the final boundaries? Does a super bacterium exist which can grow at the presently known limit of alkalinity, around pH 12 (or conversely, at acidity of around pH 1); at the present limit of temperature, around 121°C (or conversely, at temperatures below -12°C); as well as at saturated [Na+]? Thus far, no single aerobic or anaerobic bacterial or archaeal isolate has been found with optima even near these levels; however, this lack of knowledge certainly does not rule out the existence of such a microorganism. The authors hope that this overview will stimulate further investigation and isolations of these intriguing poly-extremophilic bacterial halophiles and elucidation of their unique physiological and biochemical properties for biotechnological applications.

References

  1. 1.

    Oren A: Life at high salt conditions. The Prokaryotes. A Handbook on the Biology of Bacteria: Ecophysiology and Biochemistry. Edited by: Dworkin M, Falkow S, Rosenberg E, Schleifer K-H, Stackebrandt E. 2006, New York: Springer, 2: 263-282.

    Google Scholar 

  2. 2.

    Mesbah NM, Hedrick DB, Peacock AD, Rohde M, Wiegel J: Natranaerobius thermophilus gen. nov., sp. nov., a halophilic, alkalithermophilic bacterium from soda lakes of the Wadi An Natrun, Egypt, and proposal of Natranaerobiaceae fam. nov. and Natranaerobiales ord. nov. Int J Syst Evol Microbiol. 2007, 57: 2507-2512. 10.1099/ijs.0.65068-0.

    Article  CAS  Google Scholar 

  3. 3.

    Mesbah NM, Wiegel J: Life at extreme limits: the anaerobic halophilic alkalithermophiles. Incredible Anaerobes: from Physiology to Genomics to Fuels. Edited by: Wiegel J, Maier RJ, Adams MWW. 2008, Boston: Blackwell Pub. on behalf of the New York Academy of Sciences, 44-57.

    Google Scholar 

  4. 4.

    Mouné S, Manac'h N, Hirschler A, Caumette P, Willison JC, Matheron R: Haloanaerobacter salinarius sp. nov., a novel halophilic fermentative bacterium that reduces glycine-betaine to trimethylamine with hydrogen or serine as electron donors; emendation of the genus Haloanaerobacter. Int J Syst Evol Microbiol. 1999, 49: 103-112. 10.1099/00207713-49-1-103.

    Google Scholar 

  5. 5.

    Fendrich C: Halovibrio variabilis gen. nov. sp. nov., Pseudomonas halophila sp. nov. and a new halophilic aerobic coccoid Eubacterium from Great Salt Lake, Utah, USA. Syst Appl Microbiol. 1988, 11: 36-43.

    Article  CAS  Google Scholar 

  6. 6.

    Kim KK, Jin L, Yang HC, Lee S: Halomonas gomseomensis sp. nov., Halomonas janggokensis sp. nov., Halomonas salaria sp. nov. and Halomonas denitrificans sp. nov., moderately halophilic bacteria isolated from saline water. Int J Syst Evol Microbiol. 2007, 675-681. 10.1099/ijs.0.64767-0.

    Google Scholar 

  7. 7.

    Pakdeeto A, Tanasupawat S, Thawai C, Moonmangmee S, Kudo T, Itoh T: Salinicoccus siamensis sp. nov., isolated from fermented shrimp paste in Thailand. Int J Syst Ev Microbiol. 2007, 57: 2004-2008. 10.1099/ijs.0.64876-0.

    Article  CAS  Google Scholar 

  8. 8.

    Romano I, Lama L, Orlando P, Nicolaus B, Giordamo A: Halomonas sinaiensis sp. nov., a novel halophilic bacterium isolated from a salt lake inside Ras Muhammad Park, Egypt. Extremophiles. 2007, 11: 789-786. 10.1007/s00792-007-0100-3.

    Article  CAS  Google Scholar 

  9. 9.

    Sorokin DY, Tourova TP, Galinski EA, Muyzer G, Kuenen JG: Thiohalorhabdus denitrificans gen. nov., sp. nov., an extremely halophilic, sulfur-oxidizing, deep-lineage gammaproteobacterium from hypersaline habitats. Int J Syst Evol Microbiol. 2008, 58: 2890-2897. 10.1099/ijs.0.2008/000166-0.

    Article  CAS  Google Scholar 

  10. 10.

    Imhoff JF, Suling J: The phylogenetic relationship among Ectothiorhodospiracaea: a reevaluation of their taxonomy on the basis of 16S rDNA analysies. Arch Microbiol. 1996, 165: 106-113. 10.1007/s002030050304.

    Article  CAS  Google Scholar 

  11. 11.

    Imhoff JF, Trüper HG: Ectothiorhodospira halochloris sp. nov., a new extremely halophilic phototrophic bacterium containing bacteriochlorophyll b. Arch Microbiol. 1977, 114: 114-121. 10.1007/BF00410772.

    Article  Google Scholar 

  12. 12.

    Lee J, Jeon CO, Lim J, Lee S, Lee J, Song S, Park D, Li W, Kim C: Halomonas taeanensis sp. nov., a novel moderately halophilic bacterium isolated from a solar saltern in Korea. Int J Syst Evol Microbiol. 2005, 55: 2027-2032. 10.1099/ijs.0.63616-0.

    Article  CAS  Google Scholar 

  13. 13.

    Bowers KJ, Mesbah NM, Wiegel J: Natranaerobius 'grantii' and Natranaerobius 'jonesii', spp. nov., two anaerobic halophilic alkaliphiles isolated from the Kenyan-Tanzanian Rift [abstract]. Abst Gen Meet Am Soc Microbiol Boston, MA. 2008, I-007-

    Google Scholar 

  14. 14.

    Sorokin DY, Tourova TP, Lysenko AM, Muyzer G: Diversity of culturable halophilic sulfur-oxidizing bacteria in hypersaline habitats. Microbiology UK. 2006, 152: 3013-3023. 10.1099/mic.0.29106-0.

    Article  Google Scholar 

  15. 15.

    Adkins JP, Madigan MT, Mandelco L, Woese CR, Tanner RS: Arhodomonas aquaeolei gen. nov., sp. nov., an aerobic halophilic bacterium isolated from a subterranean brine. Int J Syst Evol Microbiol. 1993, 43: 514-520. 10.1099/00207713-43-3-514.

    CAS  Google Scholar 

  16. 16.

    Liaw HJ, Mah RA: Isolation and characterization of Haloanaerobacter chitinovorans gen. nov., sp. nov., a halophilic, anaerobic, chitinolytic bacterium from a solar saltern. Appl Env Micro. 1992, 58: 260-266.

    CAS  Google Scholar 

  17. 17.

    Wagner ID, Wiegel J: Diversity of Thermophilic Anaerobes. Incredible Anaerobes: from Physiology to Genomics to Fuels. Edited by: Wiegel J, Maier RJ, Adams MWW. 2008, Boston: Blackwell Pub. on behalf of the New York Academy of Sciences, 1-43.

    Google Scholar 

  18. 18.

    Cayol JL, Ollivier B, Patel BKC, Ageron E, Grimont PAD, Prensier G, Garcia JL: Halanaerobium lacusroseus sp. nov., an extremely halophilic fermentative bacterium from the sediments of a hypersaline lake. Int J Syst Evol Microbiol. 1995, 45: 790-797. 10.1099/00207713-45-4-790.

    CAS  Google Scholar 

  19. 19.

    Padan E, Krulwich TA: Sodium stress. Bacterial Stress Response. Edited by: Storz G, Hengge-Aronis R. 2000, Washington, DC.: ASM Press, 117-130.

    Google Scholar 

  20. 20.

    Oren A: Halophilic Microorganisms and Their Environments. 2002, Dordrecht, the Netherlands: Kluwer Academic Publishers

    Chapter  Google Scholar 

  21. 21.

    Mesbah NM, Abou-El-Ela Soad H, Wiegel J: Novel and unexpected prokaryotic diversity in water and sediments of the alkaline, hypersaline lakes of the Wadi An Natrun, Egypt. Microb Ecol. 2007, 54: 598-617. 10.1007/s00248-006-9193-y.

    Article  CAS  Google Scholar 

  22. 22.

    Ghozlan H, Deif H, Kandil RA, Sabry S: Biodiversity of moderately halophilic bacteria in hypersaline habitats. J Gen Appl Microbiol. 2006, 52: 63-72. 10.2323/jgam.52.63.

    Article  CAS  Google Scholar 

  23. 23.

    Duckworth AW, Grant WD, Jones BE, van Steenbergen R: Phylogenetic diversity of soda lake alkaliphiles. FEMS. 2006, 19: 181-191.

    Google Scholar 

  24. 24.

    Mesbah NM, Wiegel J: Natronovirga wadinatrunensis gen. nov., sp. nov. and Natranaerobius trueperi sp. nov., two halophilic, alkalithermophilic microorganisms from soda lakes of the Wadi An Natrun, Egypt. Int J Syst Evol Microbiol. 2009, 59: 2042-2048. 10.1099/ijs.0.008151-0.

    Article  Google Scholar 

  25. 25.

    Wiegel J: Anaerobic alkalithermophiles, a novel group of extremophiles. Extremophiles. 1998, 2: 257-267. 10.1007/s007920050068.

    Article  CAS  Google Scholar 

  26. 26.

    Imhoff JF, Trüper HG: Ectothiorhodospira abdelmalekii sp. nov., a new halophilic and alkaliphilic phototrophic bacterium. Zentralbl BakteriolParasitenkd Infektionskr Hyg 1 Orig. 1981, C2: 228-234.

    Google Scholar 

  27. 27.

    Zhilina TN, Zavarzin GA, Detkova EN, Rainey FA: Natroniella acetigena gen. nov. sp. nov., an extremely haloalkaliphilic, homoacetic bacterium: a new member of Haloanaerobiales. Curr Microbiol. 1996, 32: 320-326. 10.1007/s002849900057.

    Article  CAS  Google Scholar 

  28. 28.

    Antón J, Oren A, Benlloch S, Rodríguez-Valera F, Amann R, Roselló-Mora R: Salinibacter ruber gen. nov., sp. nov., a novel, extremely halophilic member of the Bacteria from saltern crystallizer ponds. Int J Syst Evol Microbiol. 2002, 52: 485-491.

    Article  Google Scholar 

  29. 29.

    Vossenberg JLCM, Driessen AJM, Grant WD, Konnings WN: Lipid membranes from halophilic and alkali-halophilic Archaea have a low H+ and Na+ permeability at high salt concentration. Extremophiles. 1999, 3: 253-257. 10.1007/s007920050124.

    Article  Google Scholar 

  30. 30.

    Hirsch P, Hoffman B: Dichotomicrobium thermohalophilum, gen. nov., spec. nov., budding prosthecate bacteria from the solar lake (Sinai) and some related strains. Syst Appl Microbiol. 1989, 11: 291-301.

    Article  Google Scholar 

  31. 31.

    Raymond JC, Sistrom WR: Ectothiorhodospira halophila, a new species of the genus Ectothiorhodospira. Archiv fur Mikrobiologie. 1969, 69: 121-126. 10.1007/BF00409756.

    Article  CAS  Google Scholar 

  32. 32.

    Zhilina TN, Garnova ES, Tourova TP, Kostrikina NA, Zavarzin GA: Halonatronum saccharophilum gen. nov., sp. nov.: a new haloalkaliphilic bacterium of the order Haloanaerobiales from Lake Magadi. Mikrobiologiya. 2001, 70: 77-85. (in Russian). English translation: Microbiology, 2001, 70:64-72

    CAS  Google Scholar 

  33. 33.

    Cayol JL, Ollivier B, Patel BKC, Prensier G, Guezennec J, Garcia JL: Isolation and characterization of Halothermothrix orenii gen. nov., sp. nov., a halophilic, thermophilic, fermentative, strictly anaerobic bacterium. Int J Syst Evol Microbiol. 1994, 44: 534-540. 10.1099/00207713-44-3-534.

    CAS  Google Scholar 

  34. 34.

    Yumoto I, Hirota K, Sogabe Y, Nodasaka Y, Yokota Y, Hoshino T: Psychrobacter okhotskensis sp. nov., a lipase-producing facultative psychrophile isolated from the coast of the Okhotsk Sea. Int J Syst Evol Microbiol. 2003, 53: 1985-1989. 10.1099/ijs.0.02686-0.

    Article  CAS  Google Scholar 

  35. 35.

    Padan E, Venturi M, Gerchman Y, Dover N: Na+/H+ antiporters. Biochim Biophys Acta. 2001, 1505: 144-157. 10.1016/S0005-2728(00)00284-X.

    Article  CAS  Google Scholar 

  36. 36.

    Roberts MF: Organic compatible solutes of halotolerant and halophilic microorganisms. Saline Systems. 2005, 1: 5-10.1186/1746-1448-1-5.

    Article  Google Scholar 

  37. 37.

    Mesbah NM, Cook GM, Wiegel J: The halophilic alkalithermophile Natranaerobius thermophilus adapts to multiple environmental extremes using a large repertoire of Na+(K+)/H+ antiporters. Mol Microbiol. 2009, 74: 270-281. 10.1111/j.1365-2958.2009.06845.x.

    Article  CAS  Google Scholar 

  38. 38.

    Foti MJ, Sorokin DY, Zacharova EE, Pimenov NV, Kuenen JG, Muyzer G: Bacterial diversity and activity along a salinity gradient in soda lakes of the Kulunda Steppe (Altai, Russia). Extremophiles. 2008, 12: 133-145. 10.1007/s00792-007-0117-7.

    Article  CAS  Google Scholar 

  39. 39.

    Rees HC, Grant WD, Jones BE, Heaphy S: Diversity of Kenyan soda lake alkaliphiles assessed by molecular methods. Extremophiles. 2004, 8: 63-71. 10.1007/s00792-003-0361-4.

    Article  CAS  Google Scholar 

Download references

Acknowledgements

This work was financially supported by grant MCB 060224 from the National Science Foundation and grant AFOSR 033835-01 from the Air Force Office of Scientific Research.

Author information

Affiliations

Authors

Corresponding author

Correspondence to Juergen Wiegel.

Additional information

Competing interests

The authors declare that they have no competing interests.

Authors' contributions

All authors drafted and reviewed the initial manuscript. All authors read and approved the final manuscript.

Electronic supplementary material

[Na

Additional file 1: +], pH and Temperature Optima and Ranges for Bacterial Extreme Halophiles. The data provided show the [Na+], pH and temperature optima and ranges for validly published bacterial extreme halophiles. (DOC 208 KB)

Authors’ original submitted files for images

Below are the links to the authors’ original submitted files for images.

Authors’ original file for figure 1

Authors’ original file for figure 2

Authors’ original file for figure 3

Rights and permissions

Open Access This article is published under license to BioMed Central Ltd. This is an Open Access article is distributed under the terms of the Creative Commons Attribution License ( https://creativecommons.org/licenses/by/2.0 ), which permits unrestricted use, distribution, and reproduction in any medium, provided the original work is properly cited.

Reprints and Permissions

About this article

Cite this article

Bowers, K.J., Mesbah, N.M. & Wiegel, J. Biodiversity of poly-extremophilic Bacteria: Does combining the extremes of high salt, alkaline pH and elevated temperature approach a physico-chemical boundary for life?. Aquat. Biosyst. 5, 9 (2009). https://doi.org/10.1186/1746-1448-5-9

Download citation

Keywords

  • Soda Lake
  • Halophilic Bacterium
  • Extreme Halophile
  • Evolutionary Microbiology
  • Salinibacter Ruber